潔凈室懸浮粒子、沉降菌、浮游菌的監測及注意事項
空氣潔凈度是指以單位體積空氣中某種微粒的粒子數量和微生物數量來區分的空氣潔凈程度。而懸浮粒子、沉降菌、浮游菌等是評價潔凈室(區)級別的重要指標。關于懸浮粒子、沉降菌、浮游菌的監測方法可分別參照:GB/T 16292-2010、GB/T 16294-2010、GB/T 16293-2010,下面將對這三種指標的監測方法及注意事項進行詳細介紹。
01 懸浮粒子
我們在進行懸浮粒子檢測時一般依據《醫藥工業潔凈室(區)懸浮粒子的測試方法》 GB/T 16292-2010為標準。我們可使用光散射粒子計數器或激光塵埃粒子來進行檢測。在進行儀器的設置時,需要保證每次的最小采樣量達到要求。最小采樣量見表一。
表一 最小采樣量

在采樣時,應保證采樣點多于最少采樣點(不得少于2)且總采樣數不得少于5次,采樣口一般在離地0.8m處,如果采樣點多于5點時,也可在離地0.8~1.5m高度的區域內分層布置,但每層不可少于5點。
最少采樣點可有2種方法進行選擇。
方法1:

方法2:見下表二。
表二 最少采樣點

在采樣過程中需注意:
1. 在單向流區域內,采樣口應正對氣流方向;在非單向流區域內,采樣口應向上。
2. 采樣點應盡量避開回風口。
3. 測試者在采樣時應盡量少活動并處采樣口下風側,如果房間特別小,建議離開采樣房間。
4. 應對打印數據進行整理,防止其拖地帶起粒子。
對于數據的處理:
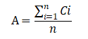
1. 采樣點的平均懸浮粒子濃度 A(粒/m3)

其中Ci為某一采樣點的粒子濃度(i=1,2,…,n),(粒/m3),n為某一采樣點的采樣次數。
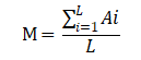
2. 潔凈室的平均粒子濃度 M(粒/m3)

其中Ai為某一采樣點的平均粒子濃度(i=1,2,…,n),(粒/m3),L為某一潔凈室的總采樣點數。
3.標準差 SE

4.95%置信上限UCL(當采樣點數多于9個時不用計算UCL)
UCL=M+t*SE
其中t分布系數見表三
表三 t分布系數

對于結果判定:需同時滿足Ai≤級別界限與UCL≤級別界限這兩個條件。(若采樣點數多于9個需滿足Ai≤級別界限)。
02 沉降菌
我們在進行沉降菌檢測時一般依據《醫藥工業潔凈室(區)沉降菌的測試方法》 GB/T 16294-2010為標準。在進行沉降菌檢測前需配制TSA或SDA或購置預罐裝并進行過適用性檢查的培養基,一般培養皿采用Φ90mm*15mm規格。
在放置培養皿時要滿足最少采樣點數(參考懸浮粒子的最少采樣點數)和最少培養皿數。最少培養皿數見表四。
表四 最少培養皿數

在采樣時需注意:
1. 培養皿一般放置于離地0.8~1.5m處,盡量避免放置在回風口附近。
2. 在打開或關閉培養皿蓋時需要注意手不要經過暴露的培養皿上方。
3. 在培養皿暴露時上方不得有阻擋物,且應盡量減少人員走動。
4. 培養皿的暴露時間在靜態測試時要超過30min,在動態測試時不得大于4h。
為了避免培養皿在運輸過程中受到影響,我們在進行沉降菌檢測時需在每個區域取1個培養皿與其他培養皿相同操作但不打開培養皿蓋使其暴露來作為對照,并與采樣后的培養皿一同放置于培養箱培養。
當采樣結束后,如果使用TSA則在30~35℃的培養箱培養不少于2d;如果使用SDA則在20~25℃的培養箱培養不少于5d。所有培養基需要倒置于培養箱進行培養。培養結束后對培養皿的菌落進行計數并算出每個房間的平均菌落數。最后需將培養皿進行危廢處置,不可直接丟棄。
對于結果判定:滿足平均菌落數≤級別界限。
03 浮游菌
我們在進行浮游菌檢測時一般依據《醫藥工業潔凈室(區)浮游菌的測試方法》 GB/T 16293-2010為標準。我們可使用狹縫式采樣器、離心采樣器或******采樣器來進行檢測。檢測的培養皿可參考沉降菌的培養皿。
在進行儀器的設置時,需要保證每次的最小采樣量達到要求。浮游菌的最小采樣量見表五。
表五 浮游菌的最小采樣量

浮游菌檢測時需注意:
1. 在采樣時要滿足最少采樣點數(參考懸浮粒子的最少采樣點數),采樣位置應離地0.8~1.5m處并避免在回風口附近。
2. 在每次進入新房間進行采樣前應對采樣器進行消殺并開啟采樣器,待殘余消毒劑蒸發徹底后再放入培養皿進行檢測。(如果單一房間面積過大,可以每間隔幾次采樣就對采樣器消殺一次)。
3. 在采樣時盡量避免人員走動防止影響檢測結果。
在每個區域內取1個培養皿不暴露作為對照,并于采樣后的培養皿一同放入培養箱培養。當采樣結束后,如果使用TSA則在30~35℃的培養箱培養不少于2d;如果使用SDA則在20~25℃的培養箱培養不少于5d。所有培養基需要倒置于培養箱進行培養。培養結束后對培養皿的菌落進行計數。最后需培養皿進行危廢處置,不可直接丟棄。
對于數據的處理:
我們需要對每個測量點的浮游菌平均濃度進行計算。

對于結果判定:每個測量點的浮游菌平均濃度≤級別界限。
懸浮粒子、沉降菌與浮游菌的判定依據一般參考《無菌醫療器具生產管理規范》YY0033-2000或《藥品生產質量管理規范(2010年修訂)》。
來源:“生物制品質量分析”公眾號,(作者:GZQ)


